znaet znaetguru
Курсы Команда FAQ Контакты
Авторизация
Курсы FAQ Контакты О нас Авторизация
#633359
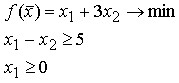
Задачей линейного программирования не является:
Варианты ответа:
Тематика: Математические методы исследования операций
Курсы в категории: Математика и статистика
📚 Похожие вопросы по этой дисциплине
Опорный план задачи линейного программирования определяет матрица (являетс Опорный план задачи линейного программирования определяет матрица (являетс Опорный план задачи линейного программирования определяет матрица (являетс Опорный план задачи линейного программирования определяет матрица (являет Опорный план задачи линейного программирования не опреде
Запись на консультацию
Загрузка слотов...

Telegram WhatsApp
znaet znaet.guru © 2026 Все права защищены
Курсы Команда Политика Условия FAQ Контакты