#604051
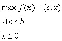
Каноническая задача линейного программирования в векторно-матричной форме выглядит как
Варианты ответа:
Курсы в категории:
Экономика и управление


