#601052
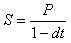
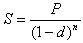
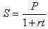
Наращенная сумма методом простой учетной ставки: …
Варианты ответа:
Тематика:
Финансовая математика
Курсы в категории:
Финансы и банковское дело




