#601004
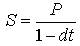
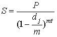
Наращенная сумма с использованием простой учетной ставки: …
Варианты ответа:
Тематика:
Финансовая математика
Курсы в категории:
Финансы и банковское дело


