#55876

#55876: Задачей линейного программирования не является:

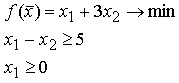
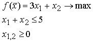
Задачей линейного программирования не является:
Варианты ответа:
Курсы в категории: Математика и статистика

Курс направлен на изучение фундаментальных принципов и современных методов анализа данных, включая сбор, обработку и интерпретацию информации. Рассматриваются ключевые алгоритмы машинного обучения, статистические модели и инструменты визуализации. Особое внимание уделяется практическому применению навыков для решения реальных задач в различных областях. Программа подходит как для начинающих, так и для специалистов, желающих углубить свои знания.

Курс направлен на изучение фундаментальных принципов и современных методов анализа данных, включая сбор, обработку и интерпретацию информации. Рассматриваются ключевые алгоритмы машинного обучения, статистические модели и инструменты визуализации. Особое внимание уделяется практическому применению навыков для решения реальных задач в различных областях. Программа подходит как для начинающих, так и для специалистов, желающих углубить свои знания.