#5349
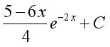
Найти интеграл /images/00001-10000/00242/00242-986.jpg
Варианты ответа:




- 5*

Тематика:
Математический анализ
Курсы в категории:
Математика и статистика