#47715
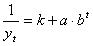
Уравнение логистической кривой может быть представлено в виде:
Варианты ответа:
Курсы в категории:
Экономика и управление


