#454850

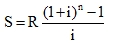
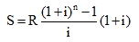
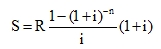
#454850: Наращенная сумма ренты пренумерандо рассчитывается по формуле …

Наращенная сумма ренты пренумерандо рассчитывается по формуле …
Варианты ответа:
Курсы в категории: Финансы и банковское дело

Данная дисциплина направлена на изучение ключевых принципов и методов, применяемых в современной практике. В рамках курса рассматриваются теоретические основы, а также их практическое применение для решения актуальных задач. Особое внимание уделяется развитию аналитических навыков и умению работать с информацией. Программа включает лекции, семинары и самостоятельные задания, позволяющие углубить понимание материала. Курс предназначен для формирования профессиональных компетенций и подготовки к дальнейшей деятельности в данной области.

Данная дисциплина направлена на изучение ключевых принципов и методов, применяемых в современной практике. В рамках курса рассматриваются теоретические основы, а также их практическое применение для решения актуальных задач. Особое внимание уделяется развитию аналитических навыков и умению работать с информацией. Программа включает лекции, семинары и самостоятельные задания, позволяющие углубить понимание материала. Курс предназначен для формирования профессиональных компетенций и подготовки к дальнейшей деятельности в данной области.

Похожие вопросы по дисциплине

📚 Похожие вопросы по этой дисциплине
Настоящая стоимость годовой ренты постнумерандо определяетс...