#453271
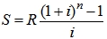
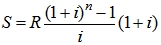
#453271: Наращенная сумма ренты пренумерандо рассчитывается по формуле:
Наращенная сумма ренты пренумерандо рассчитывается по формуле:
Варианты ответа:
Тематика:
Финансовая математика
Курсы в категории:
Финансы и банковское дело
Данная дисциплина направлена на изучение ключевых принципов и методов, применяемых в современной практике. В рамках курса рассматриваются теоретические основы, а также их практическое применение для решения актуальных задач. Особое внимание уделяется развитию аналитических навыков и умению работать с информацией. Программа включает лекции, семинары и самостоятельные задания, позволяющие углубить понимание материала. Курс предназначен для формирования профессиональных компетенций и подготовки к дальнейшей деятельности в данной области.
Данная дисциплина направлена на изучение ключевых принципов и методов, применяемых в современной практике. В рамках курса рассматриваются теоретические основы, а также их практическое применение для решения актуальных задач. Особое внимание уделяется развитию аналитических навыков и умению работать с информацией. Программа включает лекции, семинары и самостоятельные задания, позволяющие углубить понимание материала. Курс предназначен для формирования профессиональных компетенций и подготовки к дальнейшей деятельности в данной области.