#425062
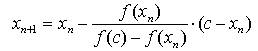
Расчетная формула метода хорд имеет вид: …
Варианты ответа:
Тематика:
Вычислительная математика
Курсы в категории:
Математика и статистика



