#326761
#326761: Какая из заданных функций является обратной для функции Y=5x-3:
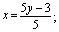
Какая из заданных функций является обратной для функции Y=5x-3:
Варианты ответа:
Тематика:
Высшая математика
Курсы в категории:
Математика и статистика
Данная дисциплина охватывает ключевые математические разделы, включая анализ функций, линейные пространства, дифференциальные уравнения и теорию вероятностей. Она формирует строгое логическое мышление, развивает навыки решения сложных задач в науке, технике и экономике. Изучение методов математического моделирования позволяет анализировать реальные процессы, прогнозировать результаты и принимать обоснованные решения. Курс способствует глубокому пониманию абстрактных концепций и их практическому применению в профессиональной деятельности.
Данная дисциплина охватывает ключевые математические разделы, включая анализ функций, линейные пространства, дифференциальные уравнения и теорию вероятностей. Она формирует строгое логическое мышление, развивает навыки решения сложных задач в науке, технике и экономике. Изучение методов математического моделирования позволяет анализировать реальные процессы, прогнозировать результаты и принимать обоснованные решения. Курс способствует глубокому пониманию абстрактных концепций и их практическому применению в профессиональной деятельности.