#285972

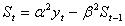
#285972: Модель экспоненциального сглаживания определяется рекуррентной формулой:

Модель экспоненциального сглаживания определяется рекуррентной формулой:
Варианты ответа:
Курсы в категории: Экономика и управление

Курс направлен на изучение ключевых принципов и методов, необходимых для понимания и применения современных технологий в профессиональной деятельности. В рамках программы рассматриваются теоретические основы, практические аспекты и актуальные тенденции, позволяющие развить навыки анализа и решения задач. Особое внимание уделяется междисциплинарному подходу, что способствует формированию комплексного видения предметной области. Учебные материалы включают кейсы, интерактивные задания и примеры из реальной практики для лучшего усвоения материала.

Курс направлен на изучение ключевых принципов и методов, необходимых для понимания и применения современных технологий в профессиональной деятельности. В рамках программы рассматриваются теоретические основы, практические аспекты и актуальные тенденции, позволяющие развить навыки анализа и решения задач. Особое внимание уделяется междисциплинарному подходу, что способствует формированию комплексного видения предметной области. Учебные материалы включают кейсы, интерактивные задания и примеры из реальной практики для лучшего усвоения материала.