#201028
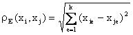
#201028: Расстояние, измеряемого по принципу “дальнего соседа” находится по формуле
Расстояние, измеряемого по принципу “дальнего соседа” находится по формуле
Варианты ответа:
Тематика:
Методы многомерной классификации
Курсы в категории:
Математика и статистика
Курс направлен на изучение ключевых принципов и методов, необходимых для понимания и применения современных технологий в профессиональной деятельности. Рассматриваются основные концепции, инструменты и практики, позволяющие эффективно решать задачи в данной области. Особое внимание уделяется развитию аналитических навыков и умению работать с информацией. Программа включает теоретические модули, практические задания и разбор реальных кейсов для закрепления знаний. Подходит для студентов и специалистов, желающих углубить свои компетенции.
Курс направлен на изучение ключевых принципов и методов, необходимых для понимания и применения современных технологий в профессиональной деятельности. Рассматриваются основные концепции, инструменты и практики, позволяющие эффективно решать задачи в данной области. Особое внимание уделяется развитию аналитических навыков и умению работать с информацией. Программа включает теоретические модули, практические задания и разбор реальных кейсов для закрепления знаний. Подходит для студентов и специалистов, желающих углубить свои компетенции.