znaet znaetguru
Курсы Команда FAQ Контакты
Авторизация
Курсы FAQ Контакты О нас Авторизация
#175068
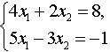
Вычислите определитель /images/00001-10000/06073/06073-208.jpg
Варианты ответа:
  • 16
  • -23
  • 0
  • 15
Тематика: Линейная алгебра
Курсы в категории: Математика и статистика
📚 Похожие вопросы по этой дисциплине
Ранг матрицы равен /images/00001-10000/06073/06 Допишите слагаемое в схеме вычисления определителя по правилу «треугольника»: = 2•(-2)•0 + 7•6•4 + ….. – 4•(-2) •4 – 6•8•2 – 7•2•0 /imag Минор М12 для матрицы равен … /images/00001-10000/06073/ Из совокупностей значений решением системы уравнений: является… /images/00001-10000 Найдите ранг матрицы /images/00001-10000/06073/0
Запись на консультацию
Загрузка слотов...

Telegram WhatsApp
znaet znaet.guru © 2026 Все права защищены
Курсы Команда Политика Условия FAQ Контакты