#163103
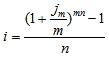
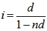
Величина простой процентной ставки:
Варианты ответа:
Тематика:
Финансовая математика
Курсы в категории:
Финансы и банковское дело







