znaet
guru
Курсы
Команда
FAQ
Контакты
Авторизация
Курсы
FAQ
Контакты
О нас
Авторизация
🔍
#1338430
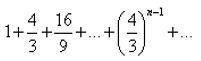
Какой из рядов является сходящимся?
Варианты ответа:
Объясни кратко
10 ₽
Объясни подробно
50 ₽
Консультация
1900 ₽/час
Тематика:
Инфографика
Растровая графика
Фотография
Курсы в категории:
Маркетинг и реклама
📚 Похожие вопросы по этой дисциплине
/images/70001-80000/78759/78759
/images/70001-80000/78759/78759
Какой из рядов, согласно интегральному признаку Коши, являетс
Сопоставьте понятия с их определ
/images/70001-80000/78759/78759
Запись на консультацию
Загрузка слотов...
Способ связи:
Telegram
WhatsApp