#127635
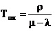
Среднее время ожидания Tож в одноканальной системе массового обслуживания с бесконечной очередью и экспоненциальным распределением интервала между приходами заявок и временем обслуживания находится как …
Варианты ответа:
Курсы в категории:
Экономика и управление


