#11642
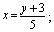
Какая из заданных функций является обратной для функции Y=5x-3:
Варианты ответа:
Тематика:
Математический анализ
Курсы в категории:
Математика и статистика




