#106261
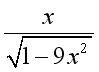
Производная функции у = arcsin3x равна
Варианты ответа:
Тематика:
Математика
Курсы в категории:
Математика и статистика




